Отопление от ТЭЦ: «скрипя зубами» и с должниками
«Черниговская ТЭЦ» ООО фирмы «ТехНова» напоминает о наличии задолженности по уплате за услуги по предоставлению теплоснабжения.
Фото сайта горсовета
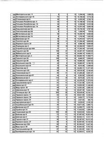
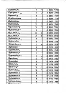
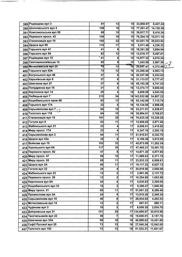
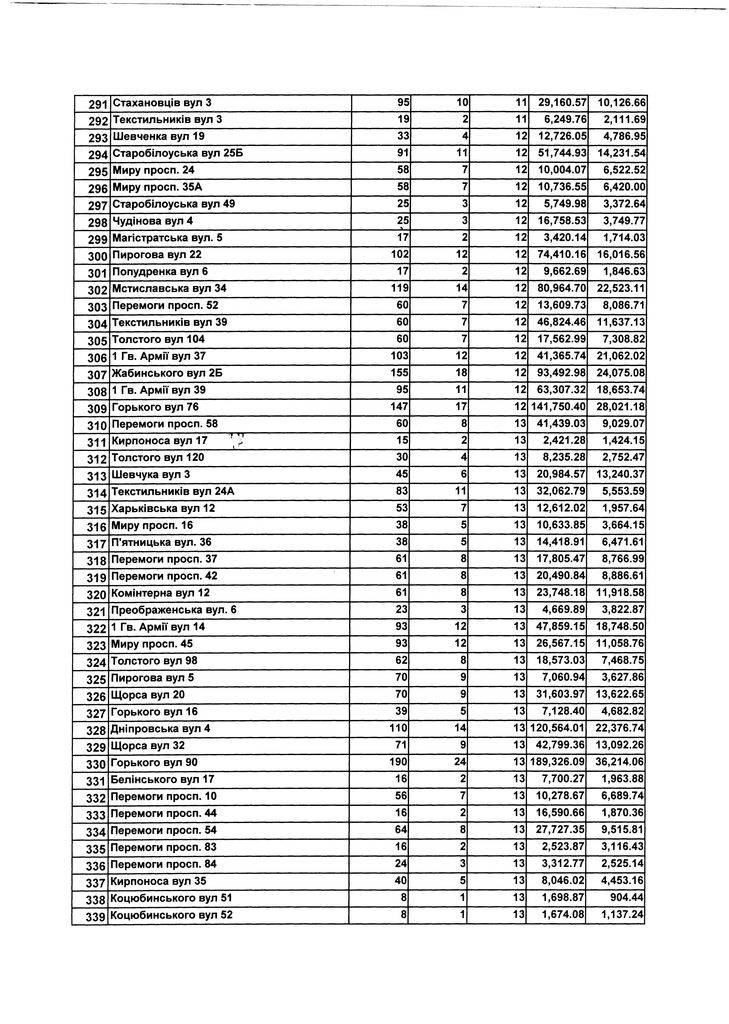
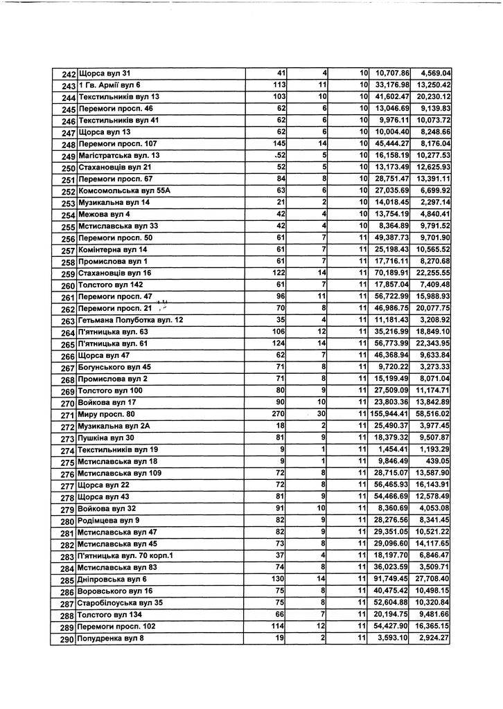
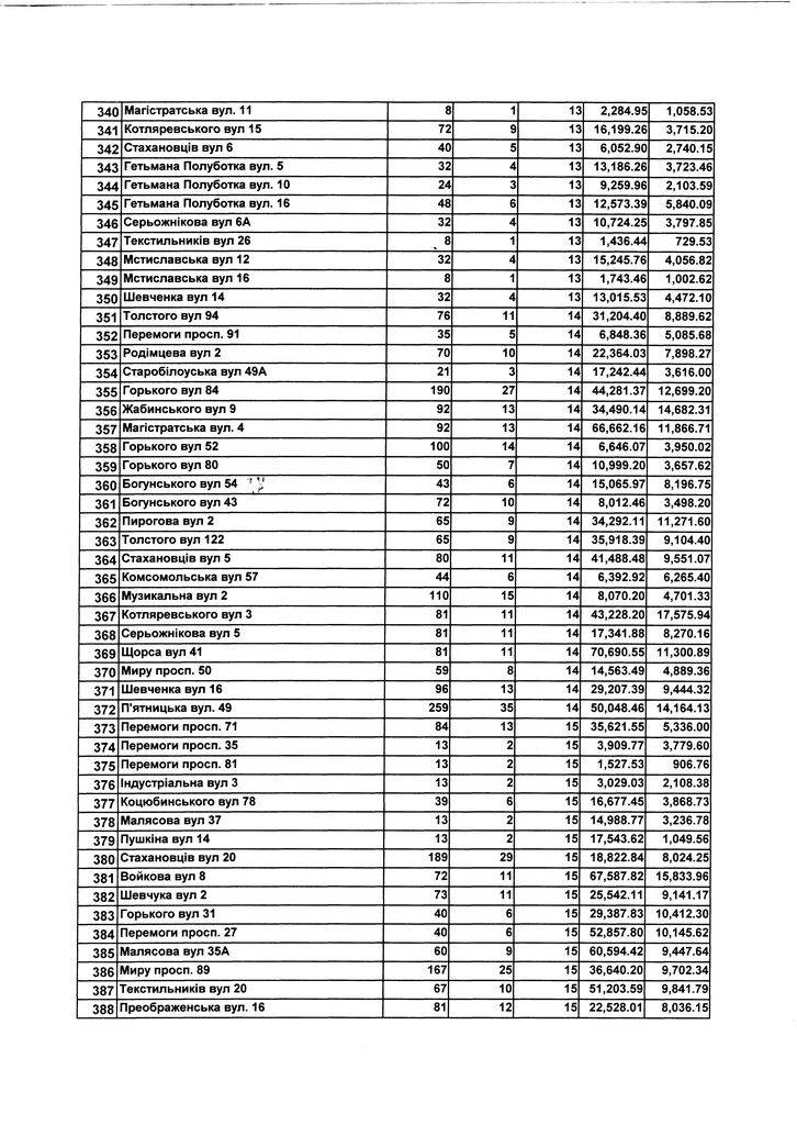
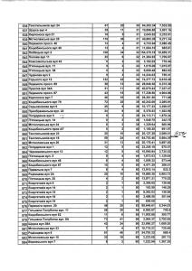
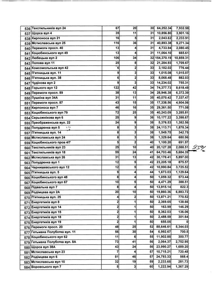
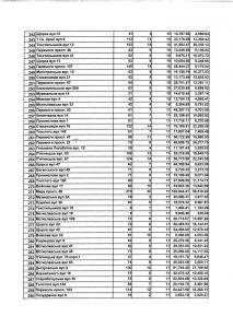
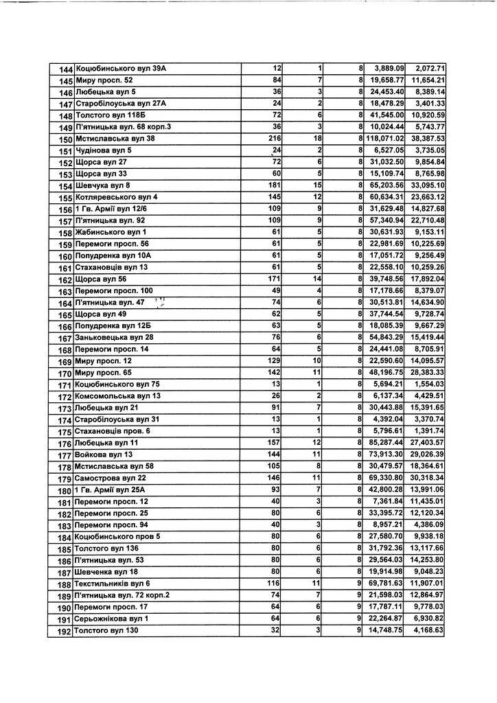
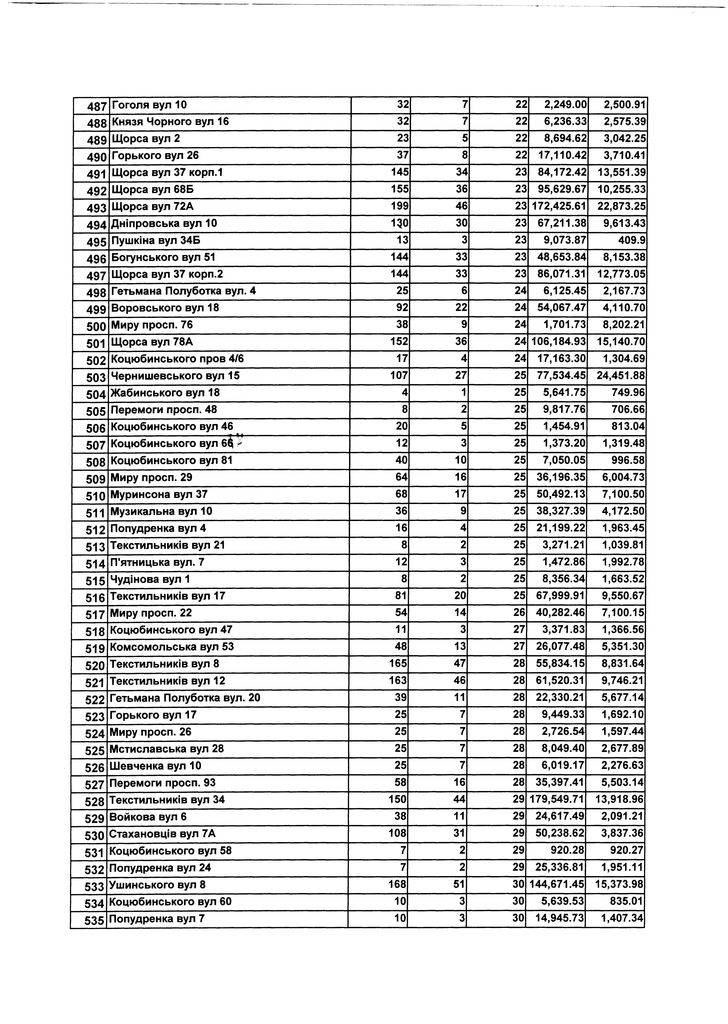
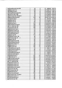
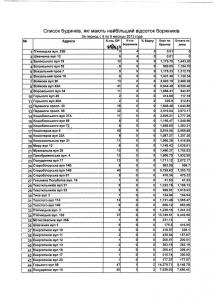
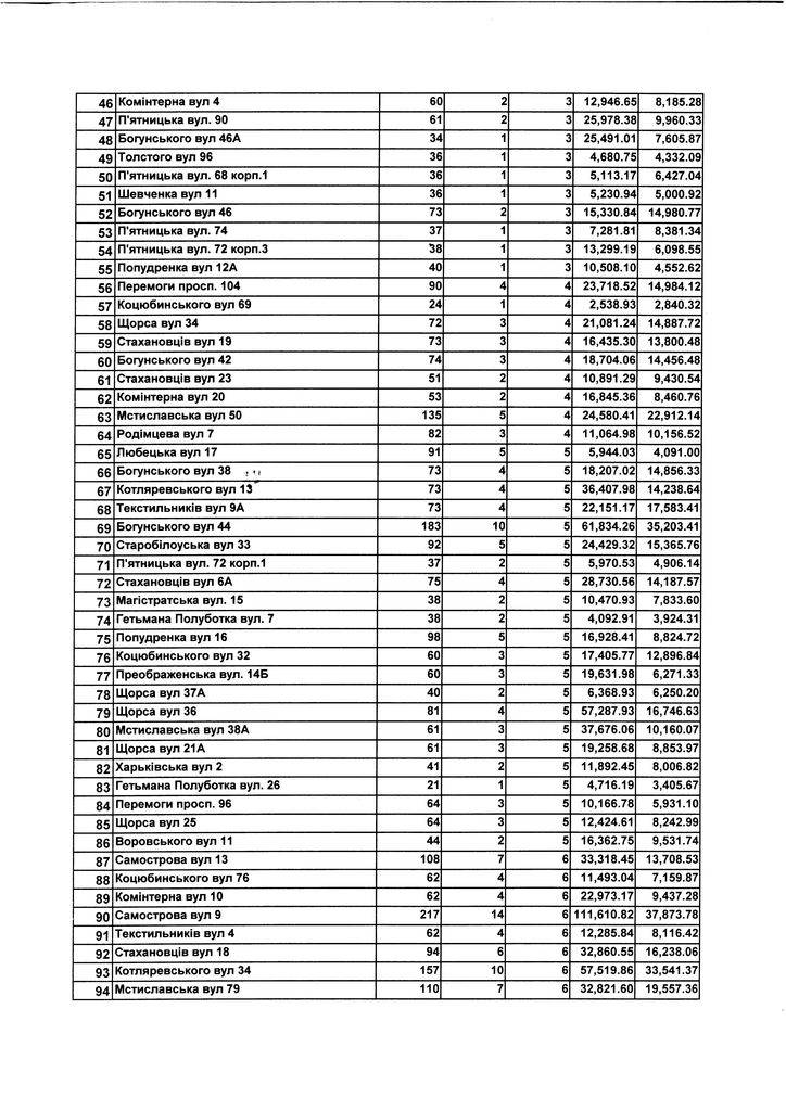
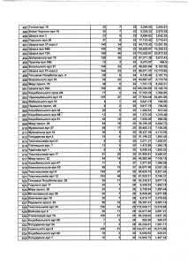
Список домов, которые имеют наибольший процент должников
| Версия для печати Отправить по e-mail Обсудить на форуме |
| Просмотров : 4909 |
Ссылки по теме:
4.10.2013 Ляшко зубами стучит - холодов боится, мэр бумажку подписал и перекрестился
2.10.2013 Начата подача тепла в черниговские дома, - Вилкул
2.10.2013 Как найти тепло в октябре?
30.09.2013 Кратко о сессии и последствиях принятых решений
1.10.2013 Дрова для страждущих приготовят в Нежине
4.10.2013 5 октября жилые дома станут теплыми
30.09.2013 Вилкул требует ускорить подключение к теплу
2.10.2013 Чернигов. Октябрь. Жизнь с открытой духовкой
30.09.2013 Нижинцев вынуждают мерзнуть















.jpg)










Комментарии (2)
patriotka | 2013-10-07 11:20
Евгений | 2013-10-07 09:58